一、XBD-GDL立式多級消防泵概述及特點:
本廠在原有立式多級泵基礎上根據對消防泵的標準要求進行開發出的新一代XBD管道型中低壓消防泵組產品。該產品符合和滿足國家標準CNCA-C18-03:2014滅火設備產品強制性認證實施規則、
CCCF-MHSB-08(A/0)強制性產品認證實施細則滅火設備產品消防給水設備產品(一)、GB6245-2006消防泵標準的要求,產品經國家消防裝備質量監督檢驗中心測試,
該系列泵在性能、結構、材料和配套上均滿足消防泵的要求。因此該系列泵具有滿足用戶要求;采用立式泵結構,具有效率高、性能范圍廣的特點,
可更好地節省占地面積的優點;泵運行更為安全可靠、噪聲低、振動小;采用水力平衡軸向力,減少平衡鼓,可使運行更為平穩。
其軸封有機械密封和填料密封兩種形式;該泵還具有進出水法蘭管線布置、轉速高、重量輕等特點。
二、XBD-GDL立式多級消防泵適用范圍
適用于各種場合如住宅、賓館、辦公大樓、商業大樓、工廠、醫院等處的消防給水。
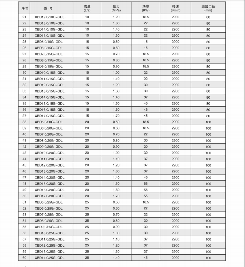
三、XBD-GDL立式多級消防泵性能范圍流量:5~115L/S揚程:20~230m功率:3~200kw
四、XBD-GDL立式多級消防泵工作條件
1、可輸送清水或物理化學性質類似于清水的無腐蝕性介質,其固體不溶物不超過0.1%。
2、介質溫度:-15℃~120℃。
3、最大工作壓力:XBD型泵:≤2.5MPa,即系統壓力+揚程≤2.5MPa,XBD(I)型泵:≤2.0MPa。
4、環境溫度不大于40℃,相對濕度小于95%。







客服1